ФУНКЦІЯ ДЕРЕВА ТА ЇЇ ЗАСТОСУВАННЯ
Анотація
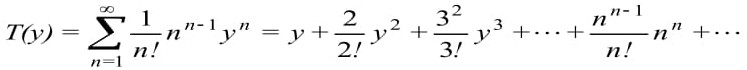
Функція x=T(y) називається функцією дерева, якщо вона є оберненою до функції . Це один з важливих прикладів неелементарної функції, якій в україномовній літературі практично не приділяється уваги. А через те, що ця функція широко використовується в різних розділах математики, а особливо в комбінаториці й теорії ймовірностей виникає проблема знайомства майбутніх вчителів математики з функцією дерева.
В статті продемонстрована методика отримання степеневих рядів для функції дерева і ряду функцій, які вражаються через функцію дерева. Розглянуто ймовірнісні розподіли, які породжені отриманими рядами. Маємо,

, многочлени
називаються узагальненими многочленами дерева.
Зокрема,
це відомі многочлени дерева.
Коефіцієнти отриманих рядів невід’ємні, а це дозволяє будувати арифметичні розподіли випадкової величини ξ, які називаються розподілами степеневих рядів.
Посилання
Euler L, Deserie Lambertine plurimisque eins insignibus propriantatibus. Acta Acad. Scient. Petropul.2 – 1783. – 29-51,.
Corless R. H. On the Lambert W function / , G. H.Gonnet, D. E. Jeffrey, Knuth D. E. // .Advantes in Computational Mathematice – 1996. – Vol.5 – 339-359.
Knuth D. E. A recurrence related to Trees / D. E. Knuth, B. Pittel // Proc. the Amer. Math. Soc. – Vol.105 – Number 2 – 1989. – pp. 335-349.
Knuth D. E. The Art of computer programming / D.E. Knuth. – v.1. – Addison-Wesley, 1997.




